www.r-krell.de
Webangebot für Schule und Unterricht, Software, Fotovoltaik und mehr

Willkommen/Übersicht  >  Mathematik  >  
oder Willkommen/Übersicht  >  Fotovoltatik  >  

Einführung in die Integralrechnung bzw. Flächenberechnung
mit Fotovoltaik-Daten, einer Wiese und Excel

Im Leistungskurs 12 habe ich das (Riemannn-)Integral bzw. zunächst überhaupt erstmal die Idee der Summenbildung zur Flächenbestimmung mit Daten unserer Fotovoltaik-Anlage eingeführt. Nach dieser Vorbereitung wurde in der nachfolgenden Stunde in einem Rollenspiel um die Größe einer krummlinig berandeten Wiese gefeilscht. Mit Excel-Arbeitsblättern wurde anschließend die Wiesenfläche durch Ober- und Untersummen genauer bestimmt, bevor die übliche algebraische Behandlung folgte.


zum Seitenanfang / zum Seitenende

Flächenberechnung mit Fotovoltaik-Daten

Aufgabenblatt mit 4 Diagrammen zur FotovoltaikIn der ersten Stunde zur Einführung des Integrals wollte ich die Schülerinnen und Schüler zunächst an die Idee der Summenbildung und speziell an die Summenbildung mit Rechteckstreifen gleicher Breite gewöhnen. Da lag es nahe -- insbesondere nach dem gerade erfolgreich abgeschlossenen Wettbewerb zur Fotovoltaik 2005 (siehe Fotovoltaik-Hauptseite) -- die Daten unserer Solaranlage zu benutzen, die vom Visualisierungsprogramm entsprechend aufbereitet dargestellt werden.

Ich habe daher (noch ohne irgendwas von Flächenberechnung oder Integralen zu sagen) das nebenstehende Arbeitsblatt für Partnerarbeit ausgegeben und die abgedruckten Fragen nochmal mündlich wiederholt. Das Blatt steht auch als pdf-Datei zum Lesen bzw. nach Rechtsklick und „Ziel speichern unter.." zum Download bereit: integral-fotovolt.pdf (53 kB)

Im Verlauf der Auseinandersetzung mit den Aufgaben tauchten einige Fragen zur Fotovoltaik-Anlage und ihrer Funktion auf, die zunächst diskutiert werden mussten. Da nur wenige Schüler in der Oberstufe Physik gewählt hatten, mussten auch die Begriffe Leistung und Arbeit (=Energie) und ihre Einheiten abgeklärt werden. Weiter wurde gefragt, ob die Anlage nicht kontinuierlich Strom liefere - die Treppen im Tagesbild störten. [Rechts oben klein im Vergleich übrigens ein Tag mit aufziehenden Einzelwolken am Nachmittag, die mit ihren Schatten immer wieder zu Einbrüchen in der Energieausbeute führten]. Im Gespräch wurde aber schnell herausgefunden, dass die Anlage sicherlich kontinuierlich Strom liefert, aber die Messungen nur gelegentlich stattfinden bzw. die momentanen Messwerte nur alle paar Minuten aufgezeichnet werden, um die zu speichernde Datenmenge überschaubar zu halten. Die angegebenen 670 W im Tagesbild des 9.9.04 sind übrigens der Momentanwert um 12 Uhr (türkisfarbene gepunktete Linie) und nicht die Tagessumme, denn der Balken vom 9.9. in der Monatsübersicht geht nur bis 5,0 - allerdings eben 5 kWh und nicht etwa 5 Watt oder 5000 Watt, weil in den unteren beiden Bildern Arbeit aufgezeichnet wird.

Mit diesen Informationen wurden nun zunächst die dunkelblauen Tagesbalken im Monatsdiagramm in ihrer Höhe abgeschätzt und addiert; die Summe liefert ziemlich genau die Höhe des grünen Monatsbalkens in der Jahresübersicht. Dass der blaue Balken vom 3.9. fehlt, liegt übrigens an einer Unzulänglichkeit der Auslesesoftware: Am 3.9. wurden die Daten des Vormonats vom Datenlogger ausgelesen und sein Speicher geleert. Trotz einer Timestamp-Funktion kann die Auswerte-/Visualisierungssoftware der Fotovoltaik-Anlage aber häufig später die alten und die nachfolgenden Werte des selben Tages nicht richtig zusammen fügen und zeigt dann keinen Balken. Die im 8-Minuten-Abstand rosa bzw. pinkfarben aufgezeichneten Leistungswerte des Beispieltages haben übrigens die meisten Schülerinnen und Schüler nicht mehr einzeln addiert, sondern die Gesamtfläche durch ein oder mehrere größere Rechtecke abgeschätzt, wobei das große Rechtecke so gelegt wurden, dass innen- und außenliegende Teile der rosafarbenen Fläche nach Augenmaß gleich waren (z.B. ein Rechteck der Höhe 500 Watt von 9 bis 19 Uhr). Da Arbeit (=Energie) gleich Leistung mal Zeit ist, wobei im Tagesdiagramm die Leistung als Höhe und die Zeit als Breite des Rechtecks abzulesen waren, wurde hier eine Flächenberechnung durchgeführt. Der Wert stimmt mit den bereits erwähnten 5 kWh für den Tag überein. Dass alle Balken in der Monats- bzw. Jahresübersicht bequeme Mittelwerte für einen Tag bzw. einen Monat darstellen, statt die sich ständig ändernden und jede Nacht auf Null zurückgehende Stromerzeugung detailliert abzubilden, wurde erkannt (zumal ja selbst gerade mit einem solchen Rechteck gearbeitet wurde). Das Wort „Integralrechnung" konnte als Begriff für Rechnungen genannt werden, bei denen aus Detaildaten auf Gesamtwerte geschlossen wird.


zum Seitenanfang / zum Seitenende

Rollenspiel: Kauf/Verkauf einer Wiese

Plan einer WieseIn der nächsten Doppelstunde (den Stunden 2 und 3 zur Integralrechnung, nachdem in der 1. Stunde die vorstehend skizzierten Überprüfungen der Fotovoltaik-Daten stattgefunden hatten) folgte ich einem -- auch im MUED-Material AN-09-10 erwähnten -- Vorschlag aus der Zeitschrift „mathematik lehren", Heft 99: Die Schülerinnen und Schüler erhielten ein Blatt mit der (großen) Zeichnung einer Wiese, die begrenzt wird durch zwei Straßen (den Koordinaten-Achsen), durch einen Bach (dessen Verlauf durch f(x) = 0,25 x2 + 2 wiedergegeben werden kann) und durch die Gerade x=4 (= Grenze zum Nachbargrundstück). Eine Längeneinheit der Zeichnung steht für 100 m in der Natur. Die Schülerinnen und Schüler mussten als Käufer und Verkäufer der Wiese Gruppen bilden, um den Flächeninhalt der Wiese zu ermitteln. Die Verkäufer sollten dabei den Inhalt zwar recht genau, aber keinesfalls zu klein angeben. Die Käufer ermitteln auch zunächst für sich die Fläche, behalten aber im Hinterkopf, dass sie die Fläche bezahlen müssen und keinesfalls mehr bezahlen wollen, als sie wirklich an Wiese kriegen. Die Zeitschrift schlug vor, die Fläche durch vier gleichbreite Rechteck anzunähern. Dieser an die Schüler weiter gegebene Vorschlag wurde nur z.T. aufgenommen; die (wohl beabsichtigte) Näherung durch Ober- und Untersumme erschien den meisten viel zu grob, sodass sie schon sofort feinere Abschätzungen anstellten. Spannend war, dass nach der getrennten ersten Flächenbestimmung sich nun Käufer und Verkäufer zusammen setzen mussten, um über die wahre bzw. konsensfähige Größe der Wiese zu verhandeln. Dabei wurden die verschiedenen Werte und Methoden ohne Zutun des Lehrers diskutiert und zeichnerisch und rechnerisch verbessert, wobei aber auch genug Raum für das Rollenspiel und Verhandlungstaktik bzw. -geschick blieb. Am Ende stand neben viel Spaß mit ca. 132.000 ..133.000 m2 ein erstaunlich guter Wert für die Wiesengröße.

Für viele praktische Zwecke reichen natürlich solche ausgehandelten Näherungswerte. Gleichzeitig war aber auch klar, dass im Mathe-Leistungskurs auch eine exakte Lösung bestimmt werden müsse. Das Verfahren zur Bestimmung von Unter- und Obersumme bei äquidistanter Zerlegung konnte am Ende der Doppelstunde noch grundsätzlich skizziert und von Hand für 4 Streifen berechnet werden bzw. die Berechnung für 4 und 8 Streifen als Hausaufgabe gestellt werden. Und es wurde erkannt: Wenn Unter- und Obersumme bei zunehmender Streifenzahl bzw. abnehmender Streifenbreite (d.h. bei einer 'ausgezeichneten' Zerlegungsfolge) einen gemeinsamen Grenzwert haben, muss dieser - bei den bisher betrachteten positiven Normalflächen - der gesuchte Flächeninhalt sein.


zum Seitenanfang / zum Seitenende

Wiesenfläche: Näherung mit Excel

Excel-Berechnungen von Unter- und Obersumme der WieseIn der nachfolgenden Doppelstunde (Stunden 4 und 5) wurde das Verfahren zur Berechnung von Unter- und Obersumme aufgenommen, um die Hausaufgaben zu besprechen und bei äquidistanter Zerlegung mit noch mehr Streifen genauere Werte zu ermitteln. Vielleicht auch durch Blick auf den von mir für die Ergebniskontrolle mitgebrachten Computer-Ausdruck kam schülerseits der Wunsch auf, die Rechnung zu automatisieren und selbst zu lernen, wie man hier z.B. Excel einsetzen könne. Da ein Wechsel in den zufällig gerade leeren Computerraum möglich war, wurde das versucht. Da aus der Mittelstufe bei vielen Tabellenkalkulations-Grundkenntnisse vorhanden waren, gelang ein rascher Crash- bzw. Auffrischungskurs für Excel und es wurden Arbeitsblätter entwickelt und Rechnungen für verschiedene Streifenanzahlen durchgeführt. Eine solches Excel-Arbeitsblatt (Version 2000) ist bei installiertem Officepaket hier online einseh- und bearbeitbar bzw. kann durch Rechtsklick auf den unterstrichenen Namen und „Ziel speichern unter.." herunter geladen werden: integral-wiese.xls (87 kb). Als Bild gezeigt und als pdf-Datei integral-wiese-xls.pdf (57 kB) erhältlich ist der von mir nach den Ferien nochmal mitgebrachte Zusammenschnitt einiger Ergebnisse. In den mit Unter- und Obersumme überschriebenen Spalten sind übrigens zunächst die Flächeninhalte der einzelnen Streifen genannt; die Summe wird dann erst darunter in der gelb unterlegten Zeile addiert. Als Einheiten liegen die Längen- und Flächeneinheiten der Zeichnung bzw. des Koordinatensystems zu Grunde!

Da trotz großer Streifenzahl die Ergebnisse noch nicht allzu genau sind, folgte natürlich später die algebraische Berechnung für n Streifen mit der bereitgestellten Summenformel für 12 + 22 + 32 + ... + m2 = m (m+1) (2m+1) / 6 [vgl. nachfolgendes Arbeitsblatt vom 13.1.05. Dort ist für die Untersumme m = n-1]. Aber die numerischen Berechnungen von Hand und in Excel hatten deutlich gemacht, worum es ging, und wie man für praktische Fälle zahlenmäßige Näherungen erhalten kann. Die Schülerinnen und Schüler hatten ein Gefühl dafür entwickelt, was Ober- und Untersumme sind.


zum Seitenanfang / zum Seitenende

Wiesenfläche: Algebraische Berechnung der Ober-/Untersumme und deren Grenzwert

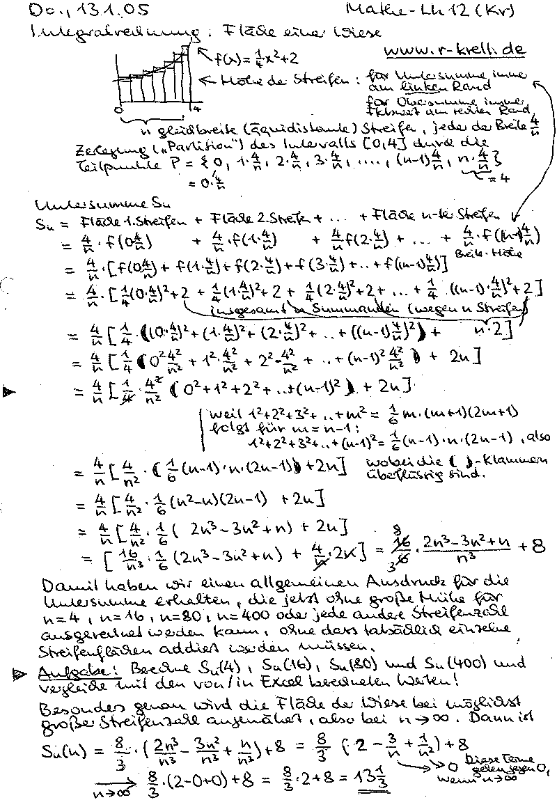
Das folgende, handschriftliche Arbeitsblatt verdeutlicht die anschließende theoretischere Fortsetzung und kann durch Rechtsklick ins Blatt und „Bild speichern unter.." herunter geladen werden (36 kB).

handschriftliches Arbeitsblatt zur allgemeinen Berechnung der Wiesenfläche

Für die Wiese bedeuten 13 1/3 FE wegen des o.g. Maßstabs 133 333,33 m2. Natürlich muss die (noch zu berechnende) Obersumme den gleichen Grenzwert 13 1/3 haben, damit man hier vom wahren Flächenwert bzw. dem zu definierenden „bestimmten Integral" sprechen kann.

zurück zur Mathematik-Hauptseite
(dort wird auch von der Volumenbestimmung einer Weinflasche im gleichen Kurs berichtet)

bzw. zur Fotovoltaik-Hauptseite


zum Anfang dieser Seite
Willkommen/Übersicht  -  Was ist neu?  -  Software  -  Mathematik  -  Physik  -  Informatik  -   Schule: Lessing-Gymnasium und -Berufskolleg  -  Fotovoltaik  -  & mehr  -  Kontakt: e-Mail,  News-Abo, Gästebuch, Impressum  -  Grußkarten, site map, Download und Suche

Diese Seite ist Teil des Webangebots https://www.r-krell.de.